เผยแพร่เมื่อ: 2026-04-20
ความสัมพันธ์โดยนัย (Implied correlation) คือการประเมินของตลาดออปชั่นว่าหุ้นในดัชนีนั้น ๆ มีแนวโน้มที่จะเคลื่อนไหวไปในทิศทางเดียวกันมากน้อยเพียงใดในอนาคต ความสัมพันธ์นี้ไม่สามารถสังเกตได้โดยตรงในตลาดเงินสด แต่ผู้ค้าจะอนุมานจากราคาออปชั่น โดยปกติแล้วจะเปรียบเทียบความผันผวนโดยนัยของดัชนีกับความผันผวนโดยนัยของหุ้นในดัชนีนั้น ๆ
กล่าวโดยง่าย ความสัมพันธ์โดยนัยช่วยตอบคำถามข้อหนึ่งได้ว่า หุ้นในดัชนีคาดว่าจะเคลื่อนไหวไปในทิศทางเดียวกัน หรือคาดว่าจะเคลื่อนไหวอย่างอิสระมากกว่ากัน เรื่องนี้สำคัญเพราะความเสี่ยงของดัชนีไม่ได้ขึ้นอยู่กับความผันผวนของหุ้นแต่ละตัวเท่านั้น แต่ยังขึ้นอยู่กับว่าการเคลื่อนไหวของหุ้นเหล่านั้นทับซ้อนกันมากน้อยเพียงใดด้วย

ค่าสหสัมพันธ์โดยนัยเป็นการวัดการเคลื่อนไหวร่วมกันโดยเฉลี่ยที่คาดการณ์ไว้ของตลาดระหว่างองค์ประกอบต่างๆ ของดัชนี โดยอิงจากราคาออปชั่น
ค่าดังกล่าวได้มาจากการวิเคราะห์ความสัมพันธ์ระหว่างความผันผวนโดยนัยของดัชนีและความผันผวนโดยนัยของส่วนประกอบ ไม่ได้มาจากข้อมูลราคาในอดีต
ค่าสัมประสิทธิ์สหสัมพันธ์โดยนัยที่สูงขึ้นมักบ่งชี้ถึงประโยชน์จากการกระจายความเสี่ยงภายในดัชนีที่อ่อนแอลง
นักลงทุนใช้สัญญาณนี้ในการซื้อขายตามความผันผวนของราคา การซื้อขายตามมูลค่าสัมพัทธ์ และการป้องกันความเสี่ยงในวงกว้างของตลาดหุ้น
ควรใช้ร่วมกับค่าสหสัมพันธ์ที่เกิดขึ้นจริง ความผันผวนโดยนัย สภาพคล่อง และความเสี่ยงจากเหตุการณ์ ไม่ใช่ใช้เพียงอย่างเดียว นี่เป็นข้อสรุปจากผู้เขียนบทความโดยอิงจากวิธีการที่วิธีการวิเคราะห์อัตราแลกเปลี่ยนและเอกสารให้ความรู้เกี่ยวกับความผันผวนนำเสนอแนวคิดนี้
สำหรับดัชนีอย่างเช่น S&P 500 ค่าสหสัมพันธ์โดยนัยสะท้อนให้เห็นว่าตลาดคาดหวังว่าหุ้นอ้างอิงจะเคลื่อนไหวไปในทิศทางเดียวกันมากน้อยเพียงใดในช่วงระยะเวลาของออปชั่น หากนักลงทุนคาดว่าหุ้นหลายตัวจะตอบสนองไปในทิศทางเดียวกันกับข่าวเศรษฐกิจมหภาค ค่าสหสัมพันธ์โดยนัยมักจะสูงขึ้น หากพวกเขาคาดหวังว่าจะมีตัวแปรผันแปรเฉพาะหุ้นมากขึ้น ค่าสหสัมพันธ์โดยนัยมักจะลดลง
ด้วยเหตุนี้ ความสัมพันธ์โดยนัยจึงมักถูกอธิบายว่าเป็นมาตรวัดผลประโยชน์จากการกระจายความเสี่ยงในอนาคต ความสัมพันธ์ที่คาดหวังต่ำหมายความว่าการกระจายความเสี่ยงได้ผลดีกว่า ความสัมพันธ์ที่คาดหวังสูงหมายความว่าการกระจายความเสี่ยงให้ความคุ้มครองน้อยกว่า เนื่องจากคาดว่าจะมีหุ้นหลายตัวเคลื่อนไหวไปในทิศทางเดียวกัน
ค่าสหสัมพันธ์โดยนัยได้มาจากความสัมพันธ์ระหว่างความผันผวนโดยนัยของดัชนีและความผันผวนโดยนัยของหุ้นที่เป็นส่วนประกอบของดัชนี แนวคิดนี้มาจากความแปรปรวนของพอร์ตโฟลิโอ: ความแปรปรวนของดัชนีขึ้นอยู่กับทั้งความแปรปรวนของแต่ละส่วนประกอบและความแปรปรวนร่วมระหว่างส่วนประกอบเหล่านั้น
กล่าวอีกนัยหนึ่ง ความเสี่ยงของดัชนีนั้นถูกกำหนดโดยสองปัจจัย ได้แก่ ความผันผวนของหุ้นแต่ละตัว และความคาดหวังว่าหุ้นเหล่านั้นจะเคลื่อนไหวไปพร้อมกันมากน้อยเพียงใด Cboe อธิบายดัชนีความสัมพันธ์โดยนัยของตนว่าเป็นการวัดส่วนต่างระหว่างความผันผวนโดยนัยของ SPX กับความผันผวนโดยนัยเฉลี่ยของกลุ่มหุ้นเดี่ยว โดยใช้ความผันผวนโดยนัยของดัชนีและส่วนประกอบของดัชนี
ในทางปฏิบัติ เทรดเดอร์จะเริ่มต้นด้วยค่าความผันผวนโดยนัยของออปชั่นที่สังเกตได้ แปลงค่าเหล่านั้นให้เป็นค่าความแปรปรวนโดยนัย แล้วจึงหาค่าสหสัมพันธ์เฉลี่ยที่ทำให้ค่าความแปรปรวนของดัชนีสอดคล้องกับค่าความแปรปรวนขององค์ประกอบต่างๆ
วิธีการของ Cboe ระบุว่า ดัชนีความสัมพันธ์คำนวณโดยการหาผลต่างระหว่างค่าความแปรปรวนโดยนัยของออปชั่น SPX กับค่าความแปรปรวนโดยนัยของพอร์ตโฟลิโอแบบตะกร้าที่ไม่สัมพันธ์กันก่อน จากนั้นจึงหารผลต่างนั้นด้วยผลรวมของผลิตภัณฑ์ความผันผวนโดยนัยถ่วงน้ำหนักแบบจับคู่
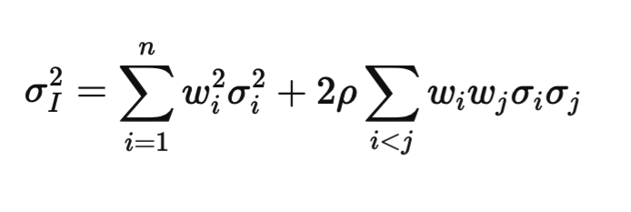
วิธีที่เป็นรูปธรรมในการอธิบายแนวคิดนี้คือ เริ่มต้นด้วยความสัมพันธ์ระหว่างความแปรปรวนของพอร์ตโฟลิโอภายใต้สมมติฐานความสัมพันธ์เฉลี่ย:

ที่ไหน:
σ(I) = ความผันผวนโดยนัยของดัชนี
w(i) = น้ำหนักของหุ้น ii ในดัชนีหรือตะกร้าติดตาม
σ(i) = ความผันผวนโดยนัยของหุ้น ii
ρ = ค่าเฉลี่ยของความสัมพันธ์เชิงคู่โดยนัย
n = จำนวนสต็อกส่วนประกอบ
สูตรนี้แสดงให้เห็นว่าความสัมพันธ์เข้ามามีบทบาทในการคำนวณความแปรปรวนของดัชนีอย่างไร นั่นคือผ่านทางพจน์ความแปรปรวนร่วมระหว่างหุ้นต่างๆ เอกสารไวท์เปเปอร์ของ Cboe ก็ใช้ตรรกะเดียวกัน โดยเริ่มต้นจากแบบจำลองพอร์ตโฟลิโอของ Markowitz แทนที่ความสัมพันธ์แบบคู่ด้วยพจน์ความสัมพันธ์เฉลี่ย แล้วจึงแยกความสัมพันธ์เฉลี่ยนั้นออกมา
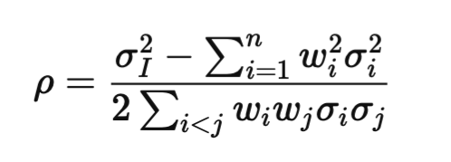
เมื่อจัดเรียงนิพจน์ใหม่ จะได้ค่าประมาณความสัมพันธ์โดยนัย:

สูตรนี้ปลอดภัยกว่าในการเผยแพร่ เนื่องจากไม่ได้ตั้งสมมติฐานว่าหุ้นแต่ละตัวมีน้ำหนักเท่ากัน หรือความผันผวนของหุ้นแต่ละตัวเหมือนกัน อย่างไรก็ตาม ดัชนีอ้างอิงแบบเรียลไทม์ยังสามารถใช้กฎวิธีการเพิ่มเติมเกี่ยวกับการสร้างตะกร้าหุ้น อายุครบกำหนด และปัจจัยนำเข้าด้านความผันผวนได้
ความสัมพันธ์โดยนัยมีความสำคัญ เนื่องจากออปชั่นดัชนีไม่ได้ขึ้นอยู่กับความผันผวนเฉลี่ยของหุ้นแต่ละตัวเท่านั้น แต่ยังขึ้นอยู่กับว่าหุ้นเหล่านั้นคาดว่าจะเคลื่อนไหวไปในทิศทางเดียวกันมากน้อยเพียงใด หากคงความผันผวนของหุ้นแต่ละตัวไว้ การเคลื่อนไหวร่วมกันที่คาดการณ์ไว้สูงขึ้นมักจะทำให้ความแปรปรวนของดัชนีสูงขึ้นและลดประโยชน์ของการกระจายความเสี่ยงภายในพอร์ตการลงทุน
นั่นทำให้ความสัมพันธ์โดยนัยมีประโยชน์อย่างยิ่งในการซื้อขายความผันผวน ช่วยอธิบายว่าทำไมความผันผวนโดยนัยของดัชนีจึงสามารถเพิ่มขึ้นได้แม้ว่าความผันผวนโดยนัยของหุ้นหลายตัวในดัชนีจะไม่ได้เปลี่ยนแปลงไปในปริมาณเท่ากัน นอกจากนี้ยังช่วยให้เทรดเดอร์ตัดสินได้ว่าออปชั่นดัชนีมีราคาสูงหรือถูกเมื่อเทียบกับกลุ่มออปชั่นหุ้นรายตัว
การซื้อขายแบบ Dispersion Trading เป็นกรณีการใช้งานแบบคลาสสิก ในการตั้งค่า Long-Dispersion ทั่วไป เทรดเดอร์จะขายความผันผวนของดัชนีและซื้อความผันผวนของส่วนประกอบแต่ละตัว โดยปกติผ่านโครงสร้าง At-the-money การซื้อขายนี้แสดงให้เห็นถึงมุมมองที่ว่าค่าสหสัมพันธ์โดยนัยนั้นสูงเกินไปและอาจลดลง
บางฝ่ายจะเปรียบเทียบความผันผวนโดยนัยของดัชนีกับความผันผวนโดยนัยขององค์ประกอบในตะกร้าถ่วงน้ำหนัก เพื่อระบุโอกาสในการลงทุนที่มีมูลค่าสัมพัทธ์ หากความผันผวนของดัชนีดูแพงเมื่อเทียบกับองค์ประกอบ ความสัมพันธ์โดยนัยอาจเป็นส่วนหนึ่งของสาเหตุ
ผู้จัดการพอร์ตการลงทุนยังใช้ความสัมพันธ์โดยนัยเมื่อทำการป้องกันความเสี่ยงจากการลงทุนในหุ้นในวงกว้าง การป้องกันความเสี่ยงที่สร้างขึ้นด้วยออปชั่นดัชนีอาจมีพฤติกรรมที่แตกต่างออกไปเมื่อหุ้นเริ่มเคลื่อนไหวไปในทิศทางเดียวกัน เนื่องจากมูลค่าของการกระจายความเสี่ยงอาจลดลงอย่างรวดเร็วในช่วงเวลาที่เกิดความเครียด
ความสัมพันธ์โดยนัยเป็นการมองไปข้างหน้า สะท้อนให้เห็นถึงสิ่งที่ตลาดออปชั่นกำลังประเมินราคาอยู่ในปัจจุบันเกี่ยวกับความเคลื่อนไหวร่วมกันในอนาคต ในขณะที่ความสัมพันธ์ที่เกิดขึ้นจริงเป็นการมองย้อนกลับไป วัดว่าสินทรัพย์ต่างๆ เคลื่อนไหวร่วมกันอย่างไรในช่วงเวลาที่ผ่านมา
ช่องว่างระหว่างค่าทั้งสองนี้มีความสำคัญ เมื่อค่าสหสัมพันธ์โดยนัยสูงกว่าค่าสหสัมพันธ์ที่เกิดขึ้นจริงมาก ตลาดอาจกำลังประเมินความเสี่ยงเชิงระบบ ความเสี่ยงจากเหตุการณ์ หรือความต้องการปกป้องดัชนีที่แข็งแกร่งกว่าที่การเคลื่อนไหวของราคาล่าสุดเพียงอย่างเดียวจะบ่งชี้ได้ นั่นไม่ได้หมายความว่าตลาดผิดเสมอไป แต่สามารถส่งสัญญาณได้ว่าความเสี่ยงจากสหสัมพันธ์กำลังถูกประเมินราคาอย่างเข้มงวดมากขึ้น
การตีความนี้สอดคล้องกับวิธีที่ Cboe อธิบายความสัมพันธ์โดยนัยว่าเป็นข้อมูลเชิงลึกเกี่ยวกับต้นทุนสัมพัทธ์ของออปชั่น SPX เมื่อเทียบกับออปชั่นในหุ้นรายตัว
ปัจจัยหลายประการสามารถเปลี่ยนแปลงค่าสัมประสิทธิ์สหสัมพันธ์โดยนัยได้:
ความไม่แน่นอนในระดับมหภาคและความตึงเครียดในตลาด
ความต้องการการป้องกันความเสี่ยงขาลงของดัชนีมีสูงมาก
ฤดูกาลประกาศผลประกอบการที่มีทั้งความผันผวนสูงหรือความสอดคล้องทางเศรษฐกิจมหภาคที่แข็งแกร่ง
การกระจุกตัวของภาคส่วนภายในดัชนี
สภาวะสภาพคล่องและรูปทรงของการเบี่ยงเบนความผันผวนบนพื้นผิวออปชั่น
หลักการง่ายๆ คือ ในตลาดที่สงบ หุ้นมักจะซื้อขายกันตามเรื่องราวเฉพาะของบริษัท ดังนั้นความสัมพันธ์โดยนัยจึงอาจลดลง ในช่วงที่ตลาดหลีกเลี่ยงความเสี่ยง ปัจจัยมหภาคอาจมีอิทธิพลมากกว่า และหุ้นหลายตัวอาจเคลื่อนไหวไปในทิศทางเดียวกัน ดังนั้นความสัมพันธ์โดยนัยจึงอาจเพิ่มขึ้น
การตีความดังกล่าวสอดคล้องกับคำอธิบายของ Cboe เกี่ยวกับความสัมพันธ์โดยนัยในฐานะตัวชี้วัดผลประโยชน์ที่คาดหวังจากการกระจายความเสี่ยง
ความสัมพันธ์โดยนัยนั้นมีประโยชน์ แต่ไม่ใช่สัญญาณบ่งชี้ความจริงโดยสมบูรณ์
ประการแรก วิธีการคำนวณแตกต่างกันไปตามผู้ให้บริการ ดัชนีชี้วัดที่เผยแพร่อาจใช้กลุ่มหุ้นเฉพาะ กลุ่มอายุครบกำหนดเฉพาะ และกฎการป้อนข้อมูลความผันผวนโดยนัยเฉพาะ ประการที่สอง ตัวเลขดังกล่าวอาจได้รับผลกระทบจากอุปสงค์และอุปทานในออปชั่นดัชนี ออปชั่นส่วนประกอบ หรือทั้งสองอย่าง ประการที่สาม ตัวเลขดังกล่าวไม่ได้บอกทิศทางใดๆ มันอธิบายถึงการเคลื่อนไหวร่วมกันที่คาดการณ์ไว้ ไม่ใช่ว่าตลาดจะขึ้นหรือลง
นอกจากนี้ ยังได้ผลดีที่สุดเมื่อใช้ร่วมกับเครื่องมือที่เกี่ยวข้องอื่นๆ เช่น ความผันผวนโดยนัย ความเบี่ยงเบนของความผันผวน และความสัมพันธ์ที่เกิดขึ้นจริง การใช้เพียงอย่างเดียวอาจทำให้ดูแม่นยำกว่าความเป็นจริง
เป็นการวัดค่าประมาณโดยนัยของตลาดออปชั่นว่า ส่วนประกอบของดัชนีคาดว่าจะเคลื่อนไหวไปในทิศทางเดียวกันอย่างแข็งแกร่งเพียงใดในช่วงระยะเวลาของออปชั่น
โดยส่วนใหญ่แล้วจะใช้ในการซื้อขายแบบกระจายความเสี่ยง การวิเคราะห์ความผันผวนตามมูลค่าสัมพัทธ์ และการป้องกันความเสี่ยงของดัชนี นักลงทุนใช้เพื่อเปรียบเทียบราคาของออปชั่นดัชนีกับราคาของออปชั่นในหุ้นรายตัว
เนื่องจากนักลงทุนมักซื้อการป้องกันความเสี่ยงจากดัชนีเมื่อความเสี่ยงทางเศรษฐกิจมหภาคเพิ่มขึ้น และตลาดเริ่มประเมินราคาการเคลื่อนไหวที่สอดคล้องกันมากขึ้นในหุ้นต่างๆ ซึ่งจะลดผลประโยชน์จากการกระจายความเสี่ยงที่คาดหวังไว้
ไม่ การหาความสัมพันธ์เชิงประวัติศาสตร์คำนวณจากผลตอบแทนในอดีต ส่วนการหาความสัมพันธ์โดยนัยนั้นอนุมานจากราคาออปชั่นในปัจจุบันและเป็นการมองไปข้างหน้า
ใช่ครับ โดยปกติแล้วจะใช้เป็นสัญญาณวิเคราะห์มากกว่าใช้เป็นกลยุทธ์การซื้อขายโดยตรง นักลงทุนรายย่อยสามารถติดตามดัชนีความสัมพันธ์โดยนัยที่เผยแพร่แล้ว เปรียบเทียบความผันผวนโดยนัยของดัชนีและส่วนประกอบต่างๆ และใช้สัญญาณนี้เพื่อทำความเข้าใจว่าเมื่อใดที่การป้องกันความเสี่ยงจากดัชนีอาจมีต้นทุนค่อนข้างสูง
ค่าสหสัมพันธ์โดยนัยเชื่อมโยงความผันผวนของดัชนีกับความเคลื่อนไหวที่คาดการณ์ไว้ของหุ้นภายในดัชนีนั้น โดยอนุมานจากราคาออปชั่นและช่วยให้เทรดเดอร์เข้าใจว่าตลาดกำลังประเมินราคาความสอดคล้องกันในวงกว้างหรือการกระจายตัวในระดับหุ้น จึงมีประโยชน์สำหรับการซื้อขายความผันผวน การป้องกันความเสี่ยง และการวิเคราะห์มูลค่าสัมพัทธ์ โดยเฉพาะอย่างยิ่งเมื่ออ่านควบคู่กับความผันผวนโดยนัย ค่าสหสัมพันธ์ที่เกิดขึ้นจริง และความเบี่ยงเบนของความผันผวน