Diterbitkan pada: 2026-03-27
Model Black-Scholes adalah salah satu kerangka matematika paling penting dalam keuangan modern. Model ini mengubah cara pedagang dan investor memberi harga opsi dengan memperkenalkan metode penilaian yang konsisten dan terstruktur. Sebelum dikembangkannya, penentuan harga opsi bersifat sangat subjektif, yang menciptakan inefisiensi di seluruh pasar keuangan.

Hingga kini, model Black-Scholes tetap menjadi konsep dasar dalam perdagangan derivatif, manajemen risiko, dan keuangan kuantitatif. Meskipun sekarang ada model yang lebih maju, model ini terus berfungsi sebagai tolok ukur untuk penetapan harga dan analisis.
Model Black-Scholes menghitung harga teoritis opsi Eropa.
Model ini menggunakan input seperti harga saham, harga strike, volatilitas, waktu hingga jatuh tempo, dan suku bunga.
Volatilitas adalah faktor yang paling berpengaruh dalam penetapan harga opsi.
Model ini mengasumsikan pasar efisien dan kondisi yang konstan.
Model ini tetap banyak digunakan meskipun memiliki keterbatasan di dunia nyata.
Model Black-Scholes adalah formula matematika yang digunakan untuk menentukan nilai wajar kontrak opsi. Model ini diperkenalkan pada tahun 1973 oleh Fischer Black, Myron Scholes, dan Robert Merton. Model ini berlaku secara khusus untuk opsi Eropa, yang hanya dapat dilaksanakan pada saat jatuh tempo.
Model ini memperkirakan probabilitas pergerakan harga di masa depan dan mengonversinya menjadi nilai sekarang. Dalam praktiknya, model ini membantu para pedagang menentukan apakah sebuah opsi dinilai terlalu tinggi atau terlalu rendah menggunakan data pasar saat ini.
Model Black-Scholes bergantung pada beberapa variabel kunci:
Dengan menggunakan variabel-variabel ini, harga opsi call Eropa dihitung sebagai:

Di mana:

C: Harga teoritis opsi call.
S: Harga saat ini dari aset dasar (harga spot).
K: Harga strike opsi.
r: Tingkat suku bunga bebas risiko (dinilai tahunan).
T: Jangka waktu hingga jatuh tempo (dalam tahun).
σ (sigma): Volatilitas pengembalian aset dasar.
N(d₁), N(d₂): Fungsi distribusi kumulatif dari distribusi normal baku.
e^{-rT}: Faktor diskonto untuk nilai kini.
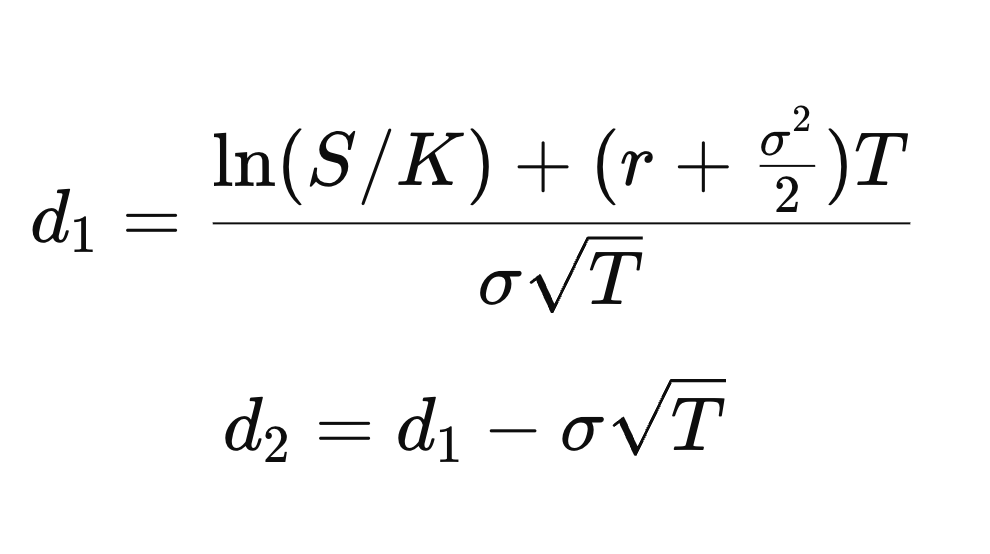
d₁: Delta opsi, yang merepresentasikan sensitivitas harga opsi terhadap perubahan harga aset dasar.
d₂: Probabilitas bahwa opsi akan berakhir bernilai (in the money).
S × N(d₁): Manfaat yang diharapkan dari menerima saham, bergantung pada pelaksanaan.
K × e^{-rT} × N(d₂): Nilai kini dari biaya untuk melaksanakan opsi, bergantung pada pelaksanaan.
Untuk opsi put Eropa, rumusnya adalah:

Rumus memisahkan nilai opsi menjadi keuntungan yang diharapkan dan biaya yang didiskonto. Volatilitas berperan sentral karena meningkatkan probabilitas pergerakan harga yang menguntungkan, yang pada gilirannya menaikkan nilai opsi.
Model dibangun di atas asumsi-asumsi penyederhanaan yang memungkinkan ketelitian matematis.
Pasar efisien dan bebas dari arbitrase.
Harga aset mengikuti lintasan acak yang kontinu.
Volatilitas tetap konstan sepanjang waktu.
Suku bunga stabil.
Tidak ada dividen yang dibayarkan selama masa hidup opsi.
Tidak ada biaya transaksi.
Meskipun asumsi-asumsi ini tidak sepenuhnya realistis, mereka menyediakan kerangka kerja yang berguna untuk penetapan harga.
Pertimbangkan seorang pedagang yang mengevaluasi opsi call pada saham yang diperdagangkan pada 100 dolar dengan harga strike 105 dolar dan tiga bulan hingga jatuh tempo.
Jika volatilitas rendah, probabilitas saham melebihi $ 105 lebih kecil, sehingga opsi akan lebih murah. Jika volatilitas meningkat, kemungkinan hasil yang menguntungkan naik, yang meningkatkan harga opsi.
Dengan menerapkan model Black-Scholes, pedagang dapat memperkirakan nilai wajar dan membandingkannya dengan harga pasar. Hal ini memungkinkan pengambilan keputusan perdagangan yang lebih tepat.

Harga teoritis opsi call = $4.50
Ini memberi tahu trader bahwa membayar lebih dari $4.50 mungkin terlalu mahal, sementara membayar kurang dapat menjadi peluang.
Model ini menawarkan sejumlah manfaat yang menjelaskan mengapa model ini tetap relevan.
Menyediakan kerangka penetapan harga yang terstandarisasi
Membantu mengidentifikasi opsi yang dinilai tidak wajar
Mendukung strategi lindung nilai dan manajemen risiko
Menjadi dasar bagi model keuangan yang lebih maju
Model ini juga memperkenalkan lindung nilai dinamis, yang memungkinkan trader mengelola risiko melalui penyesuaian portofolio secara terus-menerus.
Meskipun memiliki keunggulan, model ini memiliki keterbatasan penting.
Mengasumsikan volatilitas konstan, yang tidak realistis
Tidak memperhitungkan pelaksanaan awal opsi Amerika
Mengabaikan peristiwa pasar ekstrem dan guncangan mendadak
Memerlukan penyesuaian untuk saham yang membayar dividen
Karena keterbatasan ini, trader sering menggunakan model alternatif dalam skenario yang kompleks.
Model Black-Scholes sering digunakan sebagai dasar, sementara model-model lain menyempurnakan penetapan harga untuk kondisi dunia nyata.
Model Black-Scholes banyak diterapkan di pasar keuangan.
Penetapan harga opsi saham dan indeks
Mengevaluasi rencana opsi saham karyawan
Mengelola risiko portofolio
Mendukung perdagangan algoritmik
Investor institusional sering menggunakan model ini saat memperdagangkan opsi pada indeks besar dan saham spesifik sektor. Misalnya, selama periode ketegangan geopolitik, saham sektor pertahanan sering mengalami volatilitas yang lebih tinggi, yang langsung memengaruhi penetapan harga opsi.
Volatilitas adalah input yang paling sensitif dalam rumus.
Volatilitas historis, berdasarkan pergerakan harga masa lalu
Volatilitas implisit, yang mencerminkan ekspektasi pasar
Volatilitas implisit sangat penting karena mencerminkan sentimen ke depan. Para trader sering membandingkannya dengan volatilitas historis untuk mengidentifikasi peluang potensial.
Model Black-Scholes digunakan untuk menghitung nilai teoritis kontrak opsi. Model ini membantu trader menentukan apakah sebuah opsi memiliki harga yang wajar dengan menganalisis variabel seperti volatilitas, waktu hingga jatuh tempo, dan tingkat suku bunga.
Model ini terutama dirancang untuk opsi Eropa, yang hanya dapat dilaksanakan pada saat jatuh tempo. Model ini tidak secara akurat menilai harga opsi Amerika tanpa penyesuaian karena opsi tersebut mengizinkan pelaksanaan lebih awal sebelum jatuh tempo.
Volatilitas mengukur fluktuasi harga yang diharapkan. Volatilitas yang lebih tinggi meningkatkan kemungkinan terjadinya pergerakan harga signifikan, sehingga meningkatkan potensi nilai sebuah opsi dan membuatnya lebih mahal di pasar.
Model ini mengasumsikan volatilitas konstan dan suku bunga yang stabil, yang tidak realistis. Model ini juga mengabaikan guncangan pasar tiba-tiba dan tidak secara alami mempertimbangkan dividen, yang dapat mengurangi akurasi penetapan harga dalam kondisi dunia nyata.
Ya, model ini tetap banyak digunakan sebagai alat dasar untuk penetapan harga. Meskipun ada model yang lebih maju, model ini tetap penting untuk memahami penetapan harga opsi dan berfungsi sebagai tolok ukur di pasar keuangan.
Model Black-Scholes mengubah pasar keuangan dengan memperkenalkan cara terstruktur untuk menilai opsi. Model ini menghubungkan variabel kunci seperti volatilitas, waktu, dan tingkat suku bunga dengan nilai opsi, memungkinkan trader membuat keputusan yang lebih terinformasi. Meskipun memiliki keterbatasan, kesederhanaan dan efektivitasnya menjadikan model ini sebagai salah satu pilar utama keuangan modern.
Penafian: Materi ini hanya untuk tujuan informasi umum dan tidak dimaksudkan sebagai (dan tidak boleh dianggap sebagai) nasihat keuangan, investasi, atau nasihat lainnya yang dapat dijadikan dasar untuk pengambilan keputusan. Tidak ada opini dalam materi ini yang merupakan rekomendasi oleh EBC atau penulis bahwa investasi, sekuritas, transaksi, atau strategi investasi tertentu cocok untuk orang tertentu.